Practical Process Control Part 24: Distillation – Part 1

Article by Myke King CEng FIChemE

Myke King addresses some remaining challenges in the control of distillation columns, starting by showing how important ‘cut’ and ‘fractionation’ are to meeting composition targets

Quick read

  • Understanding the distillate cut: The distillate-to-feed ratio (D/F) is a critical control parameter derived from component balances that determines whether product compositions meet their purity or impurity specifications
  • Maintaining separation efficiency: Operating at the correct cut is necessary but not sufficient; sufficient component separation must also be achieved, which is energy-intensive and constrained by process limits
  • Effective control strategies: Maintaining product composition during feed disturbances requires both reflux-to-feed and reboil-to-feed ratio controls; relying on tray temperature feedback or partial feedforward leads to poorer performance

WE’VE already covered many aspects of the control of distillation column. In TCE 992 we showed how the drum and column level controllers should be configured and tuned. The article in TCE 996 described methods for ensuring product composition remained constant during changes in column pressure. TCE 1,005 through to 1,008 covered inferential properties, most of which are applied to distillation columns. Here, we cover the basic controls that must be in place for these composition controllers to function properly.

Distillate cut

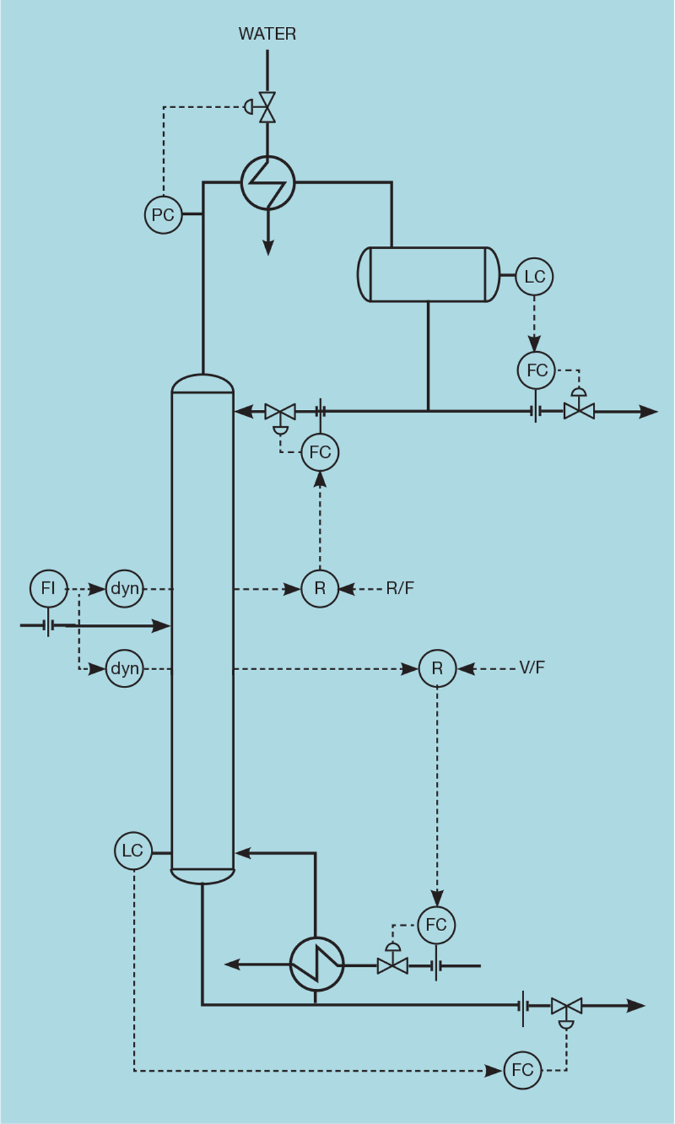
Figure 1 defines the terms we need to perform component balancing. Although many distillation columns are multi-component, to begin with, we’ll simplify the process to binary distillation by defining key components. For example, while the feed to a typical LPG splitter compromises mainly propane (C3H8) and butane (C4H10), there will be small percentages of ethane (C2H6) and pentane (C5H12). There may be isomers of butane, and the feed may contain some unsaturated versions of the molecules, such as propylene (C3H6) and butene (C4H10).

Figure 1: Component balancing

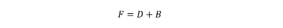
In this example we define propane as the light key (LK) and butane as the heavy key (HK). While, in this example, we perform the balances on a molar basis, working in consistent volumetric or mass units has no impact on the conclusions. Firstly, we can write an overall mass balance:

And we can write a balance for one of the components, in this case the light key:

We combine these two equations to eliminate B, and so:

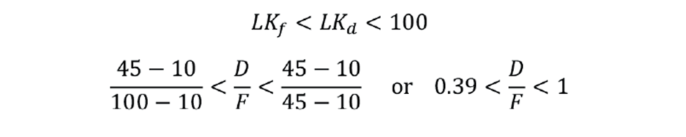
This equation is the key to the success of the control of product composition. Targets can be expressed as a minimum purity or as a maximum impurity. In a truly binary distillation, these are equivalent. A minimum purity of 95% propane in the distillate is the same as a maximum impurity of 5% butane. As an example, let us assume that the feed contains 45% propane and that no more than 10% propane is permitted in the bottoms. So:

This ratio is known as the distillate cut. It tells us that to meet the composition targets we must withdraw 41% of the feed as distillate product. To demonstrate this, we rearrange the cut equation:

This equation is plotted in Figure 2. To pass through the point (95%,10%) the cut must be 0.41. The other lines plotted show the effect of changing the cut. While they may permit one of the composition targets to be met, it becomes impossible to meet both.

Figure 2: Impact of distillate cut

To accommodate multicomponent distillation, we introduce additional key components as LLK (all components lighter than LK, eg C2-) and HHK (all components heavier than HK, eg C5+). We assume that no HHK reaches the top of the column and no LLK reaches the bottom. So:

Substituting these into the cut equation:

Both product composition targets (HKd and LKb) are now defined in terms of maximum impurity and are constant (we could have derived a similar equation based on purity targets). The equation shows that the distillate flow (D) should only change if there is a change in feed rate (F) or feed composition (LKf and LLKf). For example, the distillate flow should remain constant if the feed enthalpy (q) changes or if the column pressure changes. Since the distillate flow is usually the manipulated variable of the reflux drum level controller (see TCE 990), it will be subject to change caused by any disturbance. The control design must ensure that corrective changes are made elsewhere in the process to return the distillate flow to its starting value.

We have, perhaps, been too rigid in operating at exactly the required cut. The composition targets are not equalities. The products would be considered on grade if their purity exceeds specification. We know that LK in the bottoms cannot exceed that in the feed:

And we know that LK in the distillate must be greater than that in the feed:

So, while the cut needs to be 0.41 for both products to exactly meet their specifications, saleable products can be produced provided the cut is between 0.39 and 0.47.

Separation

While operating at the correct cut is a necessary condition it is not sufficient. While the point (95%,10%) lies on the line in Figure 2, so does an infinite number of other combinations. For example, reducing the separation could have the process operate at (75%,24%). We need also to achieve the required separation (S), as quantified by the equation:

If we assume that that the distillation is truly binary, then the required separation is given by:

Figure 3: Importance of separation

Figure 3 includes lines of constant separation and Figure 4 shows how separation must be changed, as cut is changed, to stay within product specifications. Above the green line the distillate will be within specification and above the red line the bottoms will be on grade. For both products to be saleable we must be within the shaded area. If both products are equally valuable then we would operate at the point of minimum separation, where the lines cross. Separation requires energy and we would wish to minimise its consumption.

Figure 4: Separation versus cut

If distillate was more valuable than bottoms, then we might choose to expend more energy to recover more LK from bottoms, which will then become purer than required. But the distillate yield would increase while still staying exactly on grade. We would operate on the red line, but at some point above the minimum separation case. How far above depends on the value of increased yield versus the cost of the additional energy. Note the logarithmic scale. Both lines rapidly get steeper; the incremental yield becomes small for large increases in energy. And, perhaps, well before the optimum is attained, some process limit is reached. This might be column flooding, caused by the increased reflux. Or the condenser might limit because of the increased reboiler duty.

Feedforward control

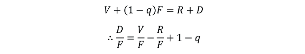
There are multiple sources of disturbance which can cause a change in cut. The most significant of which is likely to be the feed rate to the column. From Figure 1, the mass balance around the top of the column is given by:

So, provided the feed enthalpy remains constant, keeping the cut constant would be achieved by keeping both the reboil-to-feed and reflux-to-feed ratios constant. The scheme to achieve this is illustrated by Figure 5. Known as ratio feedforward, details of the design method were covered in TCE 997 through to TCE 999. An important, often overlooked, feature of the scheme is that both ratios must be in service. Often, only one is installed. Or one might be disabled by the operator. Figure 6 shows the problem. While feedforward (F/F) to both reboil and reflux will keep cut constant, feedforward to only one of them changes cut by substantially more than having no feedforward in place. The impact on product composition is shown in Figures 7 and 8. 

Figure 5: Feedforward schemes
Figure 6: Effect on cut
Figure 7: Effect on bottoms
Figure 8: Effect on distillate

Tray temperature control

Figure 9 shows what is probably the most implemented control scheme on simple columns. Rather than have any feedforward schemes it relies on a tray temperature feedback controller, usually installed in the lower section of the column. However, this has the same issues as the partially implemented feedforward scheme. Figures 10 and 11 show the impact of feed rate changes on the two product compositions. As might be expected, the bottoms composition remains almost constant. But the changes the temperature controller makes to the reboil duty greatly increase the change in the distillate composition. The solution, as above, is to ensure that reflux is also adjusted. Doing so, via a reflux-to-feed ratio controller, results in almost perfect control of both product compositions.

Figure 9: Tray temperature control
Figure 10: Impact of TC on bottoms composition
Figure 11: Impact of TC on distillate composition

Next issue

In the next issue we’ll show how temperature control can provide effective composition control and describe the problems involved in trying to control the composition of both distillate and bottoms.


The topics featured in this series are covered in greater detail in Myke King's book, Process Control – A Practical Approach, published by Wiley in 2016.


This is the twenty fourth in a series that provides practical process control advice on how to bolster your processes. To read more, visit the series hub at https://www.thechemicalengineer.com/tags/practical-process-control/


Disclaimer: This article is provided for guidance alone. Expert engineering advice should be sought before application.

Article by Myke King CEng FIChemE

Director of Whitehouse Consulting, an independent advisor covering all aspects of process control

Recent Editions

Catch up on the latest news, views and jobs from The Chemical Engineer. Below are the four latest issues. View a wider selection of the archive from within the Magazine section of this site.