Our Research Focus: Unravelling the Thermodynamics of CO2 Blowdown

Article by Andrew Perry CEng MIChemE

After a late career change to large-scale CCS, Andrew Perry set out to demystify CO2 blowdown cooling – armed with a 43-year-old textbook and a cylinder from his local home brew shop

Quick read

  • Auto-refrigeration is not a simple Joule–Thomson expansion effect: It’s a non-throttling process where liquid CO2 cools as vapour forms. Accurate modelling is critical for predicting residual liquid and minimum wall temperatures
  • Containment heat capacity matters: The steel vessel’s thermal mass significantly influences depressurisation behaviour. Accounting for wall heat input is the largest uncertainty in predicting a blowdown pathway
  • Liquid-first blowdowns enhance safety: Venting liquid CO2 before vapour reduces extreme cooling, helping avoid dry-ice formation within the containment and the risk of material embrittlement 

AFTER retiring from working on Australia’s most successful carbon capture and storage (CCS) projects, I found myself drawn back to a question that had nagged at me for a while: how to clearly depict the thermodynamic pathway behind the auto-refrigeration cooling effect seen during a CO2 blowdown.

CCS systems normally operate in vapour or supercritical phases, but during transient operations, liquid CO2 can form. When pressure drops, it rapidly cools, sometimes below safe material limits.

Though operationally familiar, the underlying energy transitions are rarely described clearly – yet they’re critical to managing temperature limits during blowdown. One source suggests that it lies “somewhere between isentropic and isenthalpic expansion”1 – a vagueness that matters, since the choice of path strongly affects predictions of residual liquid CO2.

CCS as an open-cycle refrigeration system

Before tackling the blowdown itself, it helps to consider how a CCS process compares with a CO2 refrigeration cycle. A refrigeration cycle is a closed circuit. The vapour exiting the evaporator is compressed back to supercritical pressure for cooling in the “condenser” (no phase change occurs at this condition). It is then returned to the evaporator via the refrigeration valve.

In contrast, the CCS process is “open cycle”. CO2 is compressed from near atmospheric pressure to supercritical pressure, cooled to below 60°C for pipeline transport, then delivered to injection facilities where it passes through a choke valve into the well.

On a pressure–enthalpy (P-h) chart (see Figure 1), both processes can be shown side by side.

Figure 1: Process pathways for CO2 refrigeration (red line) and CCS (black line). Mollier chart reproduced with kind permission of ChemicaLogic Corporation [5]

For CO2 refrigeration:

  • 1-2 = Compression (single stage)
  • 2-3 = Cooling in the condenser
  • 3-4 = Throttle/refrigeration valve
  • 4-1 = Chiller/evaporator

For the CCS process:

  • 1’-2’ = Multistage compression, with interstage cooling
  • 2’-3’ = Final-stage discharge cooling
  • 3’-3’’ = Pipeline transportation
  • 3’’-4’ = Wellhead choke valve

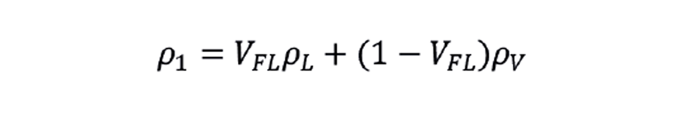
The CCS export system and pipeline typically operate directly over the two-phase region. If the pipeline is blocked in or constrained at constant volume and mass, it will cool at constant average density. If it cools enough, it will enter the two-phase region and separate out into liquid and vapour phases inside the containment – a situation worth quantifying.

For a supercritical CO2 pipeline at 733 kg/m³, cooling to 20°C (at constant mass and volume) will result in a two-phase mixture. The pressure in the pipeline will be the resulting vapour-liquid equilibrium (VLE) pressure, which is 57 bar. The starting density and the resulting saturated liquid and vapour densities are known. The resulting volume and mass fractions of liquid in the containment can be calculated by rearranging the density conservation equation:

The result is ~98 % liquid mass fraction — showing how much liquid CO2 can form and the potential risk of auto-refrigeration if the pressure is released.

Understanding auto-refrigeration

During depressurisation, CO2 can cool significantly – sometimes described as a Joule-Thomson (J-T) effect. But this isn’t strictly correct. The J-T effect applies to throttled steady-flow isenthalpic expansion through a restriction, whereas blowdown within a vessel is a closed, non-throttling process.

In a depressurising vessel, part of the liquid boils off as pressure drops. The residual liquid cools because its most energetic molecules leave in the vapour phase. I use the term auto-refrigeration to distinguish this from the J-T effect (see Figure 2).

If the pressure is reduced to the triple point of 5.18 bar, the triple-point temperature of -56°C will result. Below this, liquid CO2 cannot exist and forms a mixture of solid CO2 (dry ice) and vapour. At 1 bar absolute (atmospheric pressure), the temperature of the residual solid-vapour mixture will be -78°C.

The P-h chart provides the clue for safe operation. Within the two-phase region, isotherms run nearly horizontal; thus, if pressure is kept high enough to maintain equilibrium temperature above the material limit, the system remains safe. Operators typically control blowdown rate or final pressure to achieve this until all liquid has vaporised through ambient heat ingress.

Auto-refrigeration is a commonly used term in the hazardous materials (HAZMAT) response field2 but rarely discussed in thermodynamics texts. I could not find a published analysis of its actual pathway – a gap that motivated my study.

Figure 2: Cooling mechanisms in CO2 depressurisations

CO2 'bombing'

Bulk CO2 is transported in insulated vessels known as iso-containers. Each carries ~18,000 kg of CO2 as a vapour–liquid equilibrium (VLE) mixture at 15–20 bar, corresponding to –30°C to –20°C. When CO2 is withdrawn, the pressure drops and the liquid auto-refrigerates.

An air-warmed pressure build coil (PBC) provides ambient heat to maintain pressure. If pressure falls toward the triple point (5.18 bar) while liquid remains, it solidifies to dry ice – known as “bombing”. Because the vessels are so well insulated, any dry ice formed is difficult to remove and can put the vessel out of service for weeks until it thaws.

The search for an alternative model

I wanted to investigate if a blowdown could be modelled as a simplified constant mass process. One that did not require complex differential equation solvers typically deployed in proprietary simulation software. An old textbook, Applied Thermodynamics for Engineering Technologists3 - describes a vessel which is segregated into compartments by a series of frictionless partition plates. Only the first compartment contains a fluid under pressure, the rest are evacuated. If the first partition is opened, the fluid expands into the second compartment, and its pressure, volume and temperature will change. This process is repeated until all partitions are open to the fluid, and the pathway can be plotted on a pressure–volume (P–V) chart. This “free expansion” is 100% irreversible – no work is done, no mass crosses the system boundary. The governing equation is the non-flow energy balance between initial and final states:

U2 = U1 + Q - W

Where:

Q = heat flow
W = work
U = internal energy of the fluid

I used this concept to model a simplified system – a vessel of known volume (VA) containing 1 kg of CO₂ (the mix calculated from the previous section), connected to a vacuum volume VB. When the partition is removed, the fluid expands into VB, some liquid vaporises and the residual mixture cools.

I assumed the process was 100% irreversible – the work term W = 0, and 100% adiabatic - the heat term Q = 0. In other words:

U2 = U1

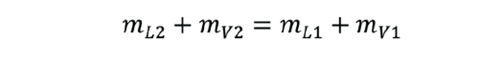
The mass remains constant:

Using National Institute of Standards and Technology (NIST)3 data for specific internal energies of liquid and vapour phases, the two conservation equations for mass and internal energy can be solved simultaneously to calculate the equilibrium mixture after expansion. The goal was to establish a baseline for how much liquid would remain at given expansion ratios and final temperatures, such as 34.9 bar at 0°C.

Jesse Reeves (left) of Crafted Taste Home Brewing Supplies (North Lakes, Queensland) supplies Andrew Perry with a CO2 cylinder refill

Building a home-scale experiment

I now had a theory on how to model an auto-refrigeration process. The next question was: how could I test it? I bought a CO2 cylinder from my local home brew shop, complete with a regulator, cylinder-side pressure gauge and a pair of thermocouples from an electronics store.

The volume of the cylinder and how much CO2 it contains is known. Knowing the cylinder’s volume and fill weight, I could calculate its starting average density and estimate the liquid and vapour fractions using the earlier method.

By weighing the cylinder during venting, I could track the mass of CO2 released; by recording pressure and temperature, I could infer the internal state. The goal was to see how well the internal energy balance predicted the measured residual contents at different stages of the blowdown.

For my first test, I chose a rapid blowdown. I reasoned a fast release would approximate an adiabatic process, as there would be less time for heat transfer from the steel wall. I blew it down rapidly to a VLE temperature of -20°C, then to -55°C, weighing the cylinder after each step.

The model’s prediction was reasonable for the first stage but underpredicted CO2 mass loss by about 10% in the second. Not such a promising start. That suggested that something – most likely heat from the steel wall – was influencing the process more than I’d assumed.

When I checked the thermocouple readings, the evidence was clear. The steel wall in contact with the liquid cooled rapidly, matching the liquid CO2 temperature closely once an external ice layer formed (see Figure 4). In fact, the cylinder froze to the mat underneath it.

Clearly, the process was not adiabatic. Significant heat was flowing from the steel into the fluid. That heat might explain the discrepancy between prediction and measurement. That became the focus of my next experiment.

(Left to right) Figure 3: CO2 cylinder fast blowdown test – predicted vs measured (circles); Figure 4: CO2 cylinder rapid blowdown

The thermal mass of the steel containment

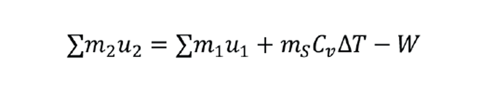
As the rapid-blowdown experiment showed, the assumption of adiabatic behaviour was too optimistic. The cylinder wall – particularly the section in contact with liquid – was clearly providing a significant heat input to the fluid during depressurisation.

The heat transfer coefficient for boiling liquid CO2 is high, and the steel wall has substantial thermal mass. The upper (vapour) section cooled too, though less sharply. I therefore reworked the model to include the sensible heat capacity of the steel containment:

and Cv = 0.49 KJ/kg·K, the specific heat capacity of steel

I used the same vessel setup as before (two compartments, VA and VB) but now included heat exchange between the wall and the fluid during expansion. The mass and volume balances were solved simultaneously with this added heat term.

I also refined the model to carry out more, smaller step changes, recalculating equilibrium every 5°C down the temperature range - think of this as opening a single partition and allowing the gas to expand before repeating the process for the calculated residual fluid mass remaining in VA. From the cylinder’s dimensions and tare weight, I estimated the base and wall thickness, allowing the mass of steel in contact with liquid to be calculated at each step. This, combined with the known heat capacity, gave a simple estimate of the steel’s heat contribution to the internal fluid.

To ensure only heat from the steel was being transferred into the fluid, I insulated the vessel with a gym mat. I was now no longer trying to simulate adiabatic conditions; I knew that could not be done. I wanted the steel wall to be in equilibrium with the internal liquid temperature. I therefore slowed the rate of the blowdown.

Results: Slow blowdown tests

With the refined model ready, I repeated the tests – this time at different starting inventories and slower venting rates.

The results were significantly improved. The internal energy approach, with allowance for wetted steel wall heat input, predicts the residual mass within the cylinder to about 2% accuracy at the higher starting inventories.

At lower inventories, the model underpredicted slightly, likely due to temperature stratification – colder steel in the liquid region and warmer steel above.

In my view, this non-linear, position-dependent heat transfer represents the largest uncertainty in this type of modelling – not only in my simplified approach but also, potentially, in more sophisticated blowdown simulations.

The temperature gradients also have an important safety implication: the steel temperature in the vapour region is not representative of the much colder metal in contact with liquid. In buried pipelines or large vessels, this colder zone may not be visible or easily monitored.

Figure 5: CO2 cylinder blowdown tests – predicted vs measured (circles)

Blowdown thermodynamics – isentropic or isenthalpic?

The literature on the thermodynamics of adiabatic blowdown processes can be difficult to navigate. Various references claim the process is isenthalpic, isentropic, or a combination of the two. The justifications for isentropic behaviour also vary: some suggest the entire process is reversible, others suggest there is no entropy generation within the vessel, others state that an adiabatic blowdown process may be modelled as following the same thermodynamic pathway as a reversible, adiabatic expansion.4

An energy balance can help clarify exactly when an isentropic assumption is valid.

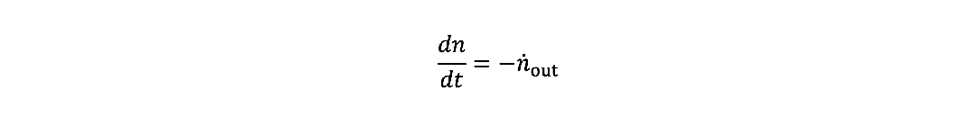
For an insulated vessel containing a single, well-mixed phase, an overall energy balance gives:

where u is the specific internal energy, n is the moles in the vessel, and out is the rate of flow of moles exiting the vessel. A mole balance over the vessel gives:

Manipulation of these equations gives the same restriction as seen in a constant-mass adiabatic expansion:

Comparison with the fundamental thermodynamic relation, du = Tds-pdv, yields ds = 0, demonstrating the process is isentropic. Note, in this context, “isentropic” means the specific entropy of the fluid inside the vessel remains constant. This does not imply the overall process is reversible or the entropy of the universe is constant.

It is tempting to suppose that the same will occur for a multi-phase blowdown, in which case the pathway for all adiabatic blowdowns would simply follow isentropic lines. This is not the case. Blowing down vapour from a two-phase mixture, the energy balance equation above becomes:

where ug is the specific energy of the gas phase, and u is the average specific energy in the vessel. This energy balance does not reduce to du =- pdv, therefore ds ≠ 0 and the process is not isentropic.


Thomas Moore (contributing author)

Model validation and refinement

Through a mutual contact on the Queensland Joint Chemical Engineering Committee (JCEC), I was introduced to Thomas Moore – a specialist in chemical process modelling. He reviewed the results against a differential analysis and confirmed that the internal-energy approach worked well for two-phase blowdowns. However, it failed to predict a correct pathway for single-phase cases.

We wanted to investigate why there was a discrepancy. Although it is accepted doctrine, I have not found an explanation in the literature for how an apparently irreversible process such as a blowdown can follow a reversible isentropic pathway for the internal fluid. Here is my attempt at an explanation.

No shaft work is done by the fluid, but the expanding fluid does perform flow work – pushing part of the fluid out of the system. In principle, this energy could be converted into useful shaft work. However, during blowdown, the flow work dissipates into turbulence as the released fluid mixes with its surroundings. Thus, the internal fluid behaves as if undergoing a reversible process, even though the available flow work is not harnessed.

While the fluid’s specific entropy can remain constant (for single-phase; see boxout) the total entropy of the system and surroundings increases in accordance with the second law of thermodynamics.

This can still be modelled as a constant mass/non-flow energy equation process. Instead of a sliding partition separating compartments of the vessel in the original analysis, the refined model assumes that a frictionless piston separates the compartments (see Figure 6)

Figure 6: CO2 depressurisation as a non-flow process

The governing non-flow energy equation now became:

Where flow work is given by:

W = PdV

With this correction, the internal energy methodology is mathematically equivalent to a rigorous differential equation analysis used in simulators.

Interestingly, for a two-phase blowdown, the flow work term is negligible compared to the internal energy available from the boiling liquid. Hence the original model prediction was reasonable. However, for adiabatic single-phase blowdown, the flow work term is a significant contributor to the energy balance.

Discussion of the results

What does the pathway actually look like on a P–h diagram? Although enthalpy strictly applies to steady-flow systems, plotting it offers insight.

Figure 7 shows the calculated auto-refrigeration pathways for three starting conditions:

1 = Starting liquid mass fraction of 0.9816 at 20°C
2 = Starting liquid mass fraction of 0.5000 at 29°C (just below critical point)
3 = Starting vapour mass fraction of 0.9816 at 20°C

The solid red lines show the derived pathways for perfect adiabatic blowdowns. These lines certainly do not indicate isenthalpic behaviour. But the pathways do align more closely to entropy lines than enthalpy lines. As the test results showed, unless the blowdown is carried out very quickly – effectively instantaneously – some heat will be contributed by the steel wall and it is not practical to achieve a truly adiabatic blowdown.

For a typical pipeline or pressure vessel, the mass of steel required to contain CO2 at up to 200 bar is around 1–3 times the contained CO2 mass. Assuming a 3:1 steel-to-CO2 ratio and that all steel heat is available to the residual fluid, the dashed lines in Figure 7 show this partially non-adiabatic case.

The results are revealing. For the high liquid starting mass fraction, there’s little difference between the two pathways. But for the lower starting liquid mass fraction cases, the partially non-adiabatic pathways deviate significantly towards the vapour side of the phase envelope. This means that when the vapour fraction is higher, the system has a lower thermal mass and therefore needs much less heat to warm up to fully vapour conditions.

So, in real-life scenarios, a blowdown can behave like an isenthalpic process – perhaps explaining some of the confusion about which pathway applies. To correct one of the sources reviewed: it is not the thermodynamic characteristics that determine the pathway, but the heat-transfer characteristics that modify it.

Figure 7: CO2 auto-refrigeration curves (P-h basis). Mollier chart reproduced with kind permission of ChemicaLogic Corporation [5]

Preferential removal of liquid CO2

Modelling suggested that venting liquid first would lessen temperature drop. When I inverted the cylinder and repeated the test, the wall bottomed out near 0°C. The discharge produced dry ice around the valve, which I collected in an improvised catcher.

From a safety viewpoint, this confirmed that liquid-first blowdown strategies can prevent excessively low containment temperatures.

Figure 8: Inverted cylinder liquid blowdown test with homemade dry ice catcher

Discussion: What the model tells us

When I set out, my goal was modest: to find a simple, visual way to depict the thermodynamic pathway of auto-refrigeration in CO2 blowdowns – a means to cross-check simulator results with transparent, first-principles reasoning.

There seemed to be no open analysis of it in the literature. Yet, using basic property data and conservation equations, a reliable, transparent model can be built in a spreadsheet.

The results confirm:

  • Blowdowns can be modelled via conservation of internal energy with heat-transfer correction
  • Perfect adiabatic behaviour is theoretical; steel wall heat modifies the path
  • Liquid-first blowdown reduces wall-temperature extremes

Understanding these mechanisms improves the safety and predictability of CO2 handling – crucial for both CCS and industrial gas systems.


Andrew Perry CEng MIChemE is a chemical engineer with a long career in oil and gas but recently specialising in CCS. He is semi-retired and now works part-time as an independent CCS consultant. Contributing author Thomas Moore PhD is a senior lecturer at Queensland University of Technology, specialising in chemical process modelling

References

1. CO2RISKMAN, Guidance on CCS CO2 Safety and Environment, Major Accident Hazard Risk Management, Level 3, H Holt, DNV Services UK Limited, 2021: www.dnv.com/focus-areas/ccs/co2riskman/
2. MS Hildebrand, CSP: bit.ly/hazmathq-understanding-auto-refrigeration
3. https://webbook.nist.gov/chemistry/
4. Applied Thermodynamics for Engineering Technologists, by TD Eastop and A McConky, 3rd Edition 1979
5. Mollier Charts reproduced with kind permission of ChemicaLogic Corporation, www.chemicalogic.com

Article by Andrew Perry CEng MIChemE

Semi-retired, part-time independent CCS consultant

Recent Editions

Catch up on the latest news, views and jobs from The Chemical Engineer. Below are the four latest issues. View a wider selection of the archive from within the Magazine section of this site.