Practical Process Control Part 26: Compressor Load Control

Article by Myke King CEng FIChemE

Myke King breaks down compressor load control and shows how experienced engineers can implement these systems in the DCS without relying on proprietary solutions

Quick read

  • PLC vs DCS: While PLCs offer faster response than DCS, they provide training, transparency and maintenance challenges and bring negligible improvement to compressor control
  • Compressor type dictates control strategy: Turbo-compressors needing load and surge control, while reciprocating machines respond differently to throttling, speed and recycle 
  • Performance curves and polytropic behaviour: Understanding these are key, guiding the choice of control schemes that balance efficiency, safety and cost

COMPRESSOR control schemes are often supplied by the compressor manufacturer, or by a specialist company. They will specify that the schemes be installed in a programmable logic controller (PLC) rather than in the distributed control system (DCS). The argument presented is that the dynamic response of machinery is considerably faster than other process equipment and that the typical DCS scan interval of 1–2 seconds is too long for effective control – particularly for surge avoidance/recovery.

PLCs typically have a scan interval ten times shorter. But, for the plant owner, this presents a couple of disadvantages. Firstly, the additional hardware brings with it the need to train staff in its configuration and maintenance – particularly onerous if the brand of PLC is different from that on which the owner has elsewhere standardised. Secondly, the coding in the PLC may not be as transparent as it would be if installed in the DCS, leading to it being viewed as a “black box”, perhaps not fully understood by the owner.

We saw (TCE 983) that almost no published PID tuning methods are designed for digital control. While digital control closely matches analog control when the scan interval is considerably shorter than the process time constants, this will not be the case for compressor control. Applying a tuning method designed for analog control will make a PLC-based controller appear to perform better than an identical one based in the DCS. Applying the right tuning method will virtually eliminate this difference.

Further, PLCs generally do not support the wider range of versions of the PID controller that are found in most DCS. In particular, the I-PD algorithm is unlikely to be an option. As explained (TCE 984), this is much preferred when a controller must deal primarily with process disturbances with only occasional setpoint (SP) changes. This is the case for most compressor load controllers and all anti-surge controllers.

Compressor types

There are fundamentally two main types of compressors. The positive displacement type traps the gas and forces it into a smaller volume. Typically reciprocating, they tend to be used when the requirement is for high pressure and relatively low flow. Alternatively, in a turbo-compressor, the impeller imparts velocity to the gas, forcing it into a smaller space. In centrifugal machines the gas moves radially; in axial machines it moves parallel to the shaft. These machines tend to be used when the requirement is for high flow at moderate pressure.

We’ll first focus on turbo-compressors. These require two fundamental control schemes. The first will be some form of load controller. The second will provide surge protection. To design the control schemes, we need a full understanding of compressor behaviour. This is described by the compressor performance curve. In principle, this shows the relationship between discharge pressure and flow. Figure 1 shows an example for a constant speed machine. As we might expect, if the compressor delivers gas at a higher pressure (or head) then its capacity is reduced.

Figure 1: Example of single speed compressor curve

The compressor curve terminates at points known as stonewall and surge. Stonewall is approached when the velocity of the gas, relative to the impeller, approaches the speed of sound (at the conditions within the machine). It is simply a capacity limit. No harm is done to the machine, although care must be taken to avoid it overheating. Surge occurs when the gas flow reduces to the point where the discharge pressure temporarily falls below that in the discharge pipework. This causes a transient reversal in gas flow, which escalates into large and frequent changes in flow direction. It can be extremely noisy; although this may be more due to the non-return valve in the discharge pipework. Some compressors can tolerate this condition for long periods although, of course, the downstream process will not. Others, or their gearboxes, can be damaged very rapidly. Certainly, our control design should avoid surge and, if it does occur, recover rapidly. Figure 2 shows a selection of curves for a variable speed machine. The surge point then becomes the surge line.

Figure 2: Example of variable speed compressor

Polytropic compression

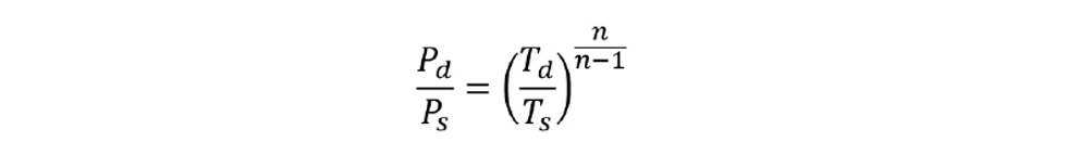
The curves, while related to discharge pressure, are actually a plot of polytropic head against the volumetric flow (at suction conditions). Ideally, gas compression is isentropic (constant entropy). This means that the process must first be adiabatic; no heat must leave (or enter) the process. It must also be reversible; if we were to use the compressed gas to generate energy, the amount generated would be equal to that used for compression.

Isentropic compression is governed by:

The term k is known as the adiabatic index:

So, for the suction (s) and discharge (d) conditions:

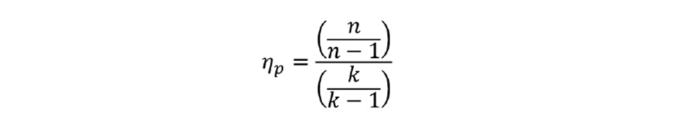
Compressors are not isentropic. The heat generated by the compression stroke of a reciprocating machine is removed – often by a water jacket. It is not, therefore, adiabatic. The large frictional losses in a turbo-compressor make the process irreversible. To describe the behaviour when entropy changes, we replace k with n to describe so-called polytropic compression:

If T is the absolute temperature, the ideal gas law tells us:

Combining gives:

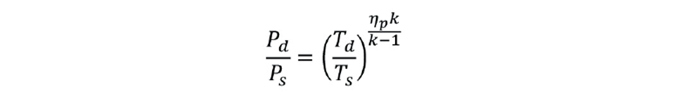
We define polytropic efficiency (ηp):

And so:

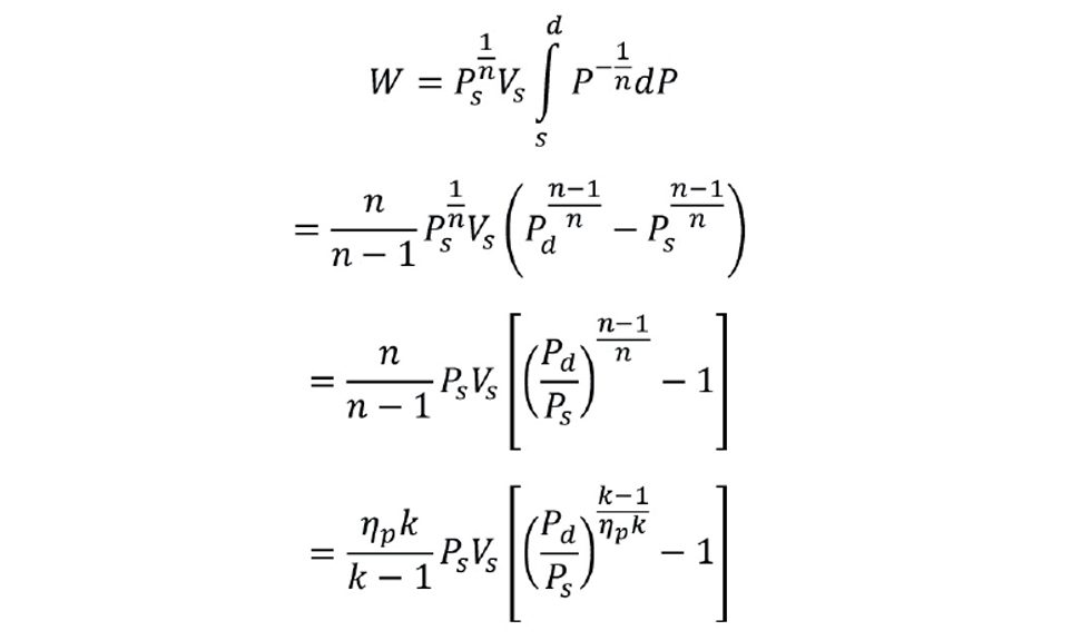
Polytropic head is defined as the work done per unit mass of gas. In general, work done on a gas is defined as:

We know that:

And so:

If z is the compressibility, the non-ideal gas law tells us:

R, the universal gas constant, is usually quoted on a molar basis (eg 8.3144 kJ/kg-mole/K). To obtain the work done per unit mass, we must divide by the molecular weight (M). So polytropic head is defined as:

Compressor curves should be a plot of polytropic head against actual suction flow (Fs) – not flow at standard conditions. But they can be plotted more simply, for example, as discharge pressure against suction flow. However, we can see from the above definition that polytropic head depends on other parameters, such as molecular weight (M). If this were to increase then, as Figure 3 shows, the simplified compressor curve moves. For the same discharge pressure, we would see an increase in volumetric flow. Changes in suction pressure or temperature will cause similar changes – made more complex if the suction flow is measured at standard conditions.

Figure 3: Impact of operating conditions

Load control

Figure 4 shows the three common load control strategies. The first would be installed if there was a requirement to deliver a fixed flow of gas. This would be common on process units. The second would apply if gas demand varies and we want to maintain a constant delivery pressure. This would apply, for example, to a gas distribution system. The third would be applicable if we wished to maintain the pressure in a distillation column producing a gaseous product. The variables that can be manipulated are the same for all three strategies.

To understand how load control works we add the process curve to the compressor curve, as shown in Figure 5. If we assume that the process exit pressure is constant, the inlet pressure will increase (as a quadratic relationship) as the flow through the process is increased. Since the compressor discharge pressure is the process inlet pressure, and the flow through both must be the same, then the plant will operate where the process and compressor curves intersect. So, the principle of load control is to somehow change where this intersection occurs.

Figure 4: Load control
Figure 5: Process curve

Figure 6 shows the first of the possible schemes. The installation of a control valve in the discharge pipework, considered now as part of the process, causes the process curve to move. So, partially closing the valve causes the intersection to occur at a higher discharge pressure and lower flow. We covered this scheme, albeit for a pump (TCE 995). The resulting highly non-linear relationship, between flow and valve position, requires the selection of an equal-percentage valve or some other linearisation method. The scheme can be very energy-inefficient, particularly if the pressure drop across the valve is large.

Figure 6: Discharge throttling

The alternative is to throttle the suction, as shown in Figure 7. While still consuming energy, the required pressure drop is much less. The suction pressure is reduced and so the compressor curve moves, as explained by Figure 3. It is possible that suction pressure can fall below atmospheric pressure. The potential leakage of air into a flammable gas would be hazardous and would be prevented by including, in the control scheme, a minimum pressure override. An oxygen detector might also be installed on the compressor suction.

Figure 7: Suction throttling

A similar scheme is the use of inlet guide-vanes, as shown in Figure 8. These are radially mounted inside the compressor casing. Rotating them (by convention, a negative angle) pre-rotates the gas in the direction of the impeller and so increases efficiency – again moving the compressor curve. Setting them at a positive angle counter-rotates the gas; they then behave much like suction throttling. They are more energy-efficient but are likely to involve additional maintenance effort.

Figure 8: Inlet guide-vanes

As shown in Figure 9, variable speed machines give us another method of moving the compressor curve. This is one of more efficient schemes, and will help avoid surge, but will be a more costly installation.

Figure 9: Speed control

Figure 10 shows a very different approach. By recycling gas through the compressor, we remove the condition that the flow through the process must be the same as that through the machine. The recycled gas must be cooled. The scheme is the least energy-efficient, but has the advantage that surge is much less likely to be encountered during normal operation. Indeed, as we’ll see later, recycle is usually the variable manipulated by surge avoidance schemes.

Figure 10: Recycle manipulation

Reciprocating machines

Some of the load control schemes described above for turbo-compressors are also applicable to reciprocating machines:

  • Discharge throttling has no effect on compressor load. Once the gas has entered the cylinder during the suction stroke, it must leave during the discharge stroke. If we throttle the discharge, the machine will deliver the same mass flow of gas but at a higher pressure and so will simply have to work harder
  • Suction throttling does have an impact. While the volume of gas entering the cylinder is unaffected, the reduction in pressure will reduce the mass of gas compressed
  • Inlet guide-vanes are not applicable
  • Adjusting compressor speed is effective
  • Manipulating recycle is similarly effective but, like turbo-compressors, is the least energy-efficient. The operating cost can be reduced by the application of one of the schemes below, set to minimise the recycle required
  • Adjustment of the compression ratio can be accomplished manually – by varying the stroke length or changing the cylinder volume. As shown in Figure 11, this can be achieved by opening/closing chambers within the cylinder or by adjusting the position of a fixed piston
Figure 11: Compression ratio adjustment
  • Figure 12 shows the scheme in which the closure of the inlet valve is delayed through part of the compression stroke. Some of the gas that entered the cylinder during the suction stroke then returns to the inlet pipework. The delay is set manually to one of a number of predefined values.
Figure 12: Compression cycle adjustment

Next issue

In the next issue we will address surge protection, required for most turbo-compressors, covering a range of different schemes. We will start with simple schemes suitable for constant speed machines, compressing gas of a fixed composition with unvarying suction conditions. Then we’ll describe the theory behind commercially packaged schemes that are applicable to more complex situations.


The topics featured in this series are covered in greater detail in Myke King's book, Process Control – A Practical Approach, published by Wiley in 2016.


This is the twenty-sixth in a series that provides practical process control advice on how to bolster your processes. To read more, visit the series hub at https://www.thechemicalengineer.com/tags/practical-process-control/


Disclaimer: This article is provided for guidance alone. Expert engineering advice should be sought before application.

Article by Myke King CEng FIChemE

Director of Whitehouse Consulting, an independent advisor covering all aspects of process control

Recent Editions

Catch up on the latest news, views and jobs from The Chemical Engineer. Below are the four latest issues. View a wider selection of the archive from within the Magazine section of this site.