Rules of Thumb: Control Valve Lift

Article by Stephen Hall

Stephen Hall discusses the golden rules for design

CONTROL valves provide a way to modulate the flow rate through a line, maintain the level in a tank, or adjust the pressure in a pipe. A sensor measures the desired value and a controller slightly opens or closes a valve if the measured value differs from the setpoint. For modulating service, globe valves are most commonly specified, and we try to select a valve that operates within the range of 20–80% open over the expected range of operating conditions to give the most stable response. This article provides the information needed to select a right-sized globe-style valve. Other valve types can be used instead (eg butterfly, gate, diaphragm); they are not covered here.

Almost by definition, a globe-style control valve restricts flow by inserting an orifice into the line. The act of opening or closing the valve changes the size of the orifice. A globe valve does this by moving a conically-shaped plug in and out of a hole; inserting the plug further into the hole increases the flow restriction. Pulling it out decreases the restriction because the hole is less obstructed by the plug. The position of the plug can range from fully inserted into the hole, which completely closes off flow to fully retracted, which leaves an open hole, or orifice, as the only restriction.

Globe-style control valves: Restrict flow by inserting an orifice into the line

“Lift” is defined as the travel distance of the plug, from fully closed (0% lift) to fully open (100% lift). It usually corresponds to the signal from the controller. Controllers send an analog signal to their associated control valves. The signal ranges between limits – most often in the form of a varying current from 4–20 mA. The valve lift is calibrated to the analog range: 4 mA can be fully open or fully closed, and 20 mA is the opposite. The lift changes linearly with in-between values.

Figure 1: Valve trim characteristics

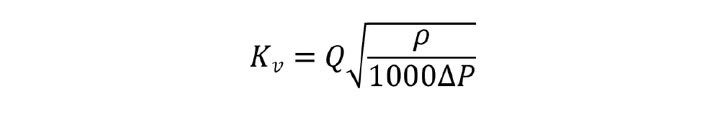
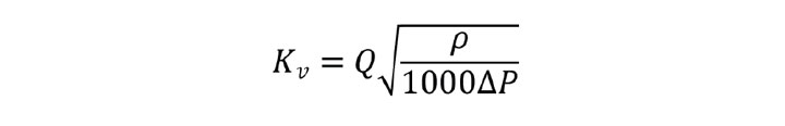
Two key specifications for a globe valve are its flow coefficient and the trim form. Flow coefficient is a quantitative measure of the pressure drop through the valve at 100% lift. In SI units, the flow coefficient is called Kv and it is defined as the flow rate (m3/h) that gives a pressure drop of 1 bar for water at 16°C. In Imperial units, the coefficient is called Cv, defined as the flow rate (gpm) that gives a pressure drop of 1 psi for water at 60°F. Multiply Cv by 1.156 to get Kv.

The second key specification is trim form. It can be “linear”, “equal percentage”, or “quick opening”. Customised trims are also made. Trim determines the flow coefficient at different lifts. For a linear trim, when the valve is 50% open the valve’s flow coefficient is 50% of the full-open coefficient. If the linear valve’s Kv is 30, when 50% open it will give 1 bar pressure drop at a flow rate of 15 m3/h. An equal percentage trim gives an exponential response between flow coefficient and lift. Equal increments of valve lift give equal percentage of increased flow. A quick-opening valve transitions from fully closed to fully open with very small travel. Figure 1 illustrates these three characteristic valve trims. Other named trims, not shown in Figure 1, include square root, modified parabolic, and hyperbolic.

Most process control valves for flow, pressure, and level control are specified with equal percentage trim. The recommended procedure for specifying control valves involves first understanding the minimum and maximum expected flow rates. Obtain the density (ρ, kg/m3) at the flowing temperature. Then specify the pressure drop (ΔP, bar) through the valve at the high and low flow conditions (Q, m3/h). Calculate the required flow coefficients with:

Choose a control valve and obtain the valve’s flow coefficient from the manufacturer’s technical bulletin. Now, estimate the valve lift at the high and low design conditions using the flow coefficients just calculated. Use this formula for an equal-percentage valve. (The value “50” is a flow ratio characteristic that may vary among valves; the valve manufacturer might furnish a specific value, but use 50 if not.) 

Article by Stephen Hall

Chief Process Engineer at Genesis AEC, a US design and construction service provider in the life science industry

He authored Rules of Thumb for Chemical Engineers, 6th Edition (Elsevier, 2018).

Recent Editions

Catch up on the latest news, views and jobs from The Chemical Engineer. Below are the four latest issues. View a wider selection of the archive from within the Magazine section of this site.